Сириус олимпиада по математике 10 и 11 класс ответы для заданий школьного этапа 15 октября 2024

олимпиада по математике ВСОШ Олимпиада

Ответы на все задания для 10 и 11 класса олимпиада по математике Сириус 15 октября 2024 школьный этап ВСОШ официальной всероссийской олимпиады школьников 2 группы регионов. Для каждого класса по несколько вариантов заданий с разными цифрами.

Скачать ответы на все задания (уже решили)

10 класс

1. Боковые грани пирамиды четыре равных равнобедренных треугольника. На этих гранях проведены отрезки, параллельные основанию, как показано на чертеже. Длины путей, отмеченные на чертежах красным, соответственно равны a, b и c.

-2

Выберите верное утверждение:
a=b=c
b=c>a
b<c<a
a>b=c

Ответ: a>b=c

2. Действительные числа x и y таковы, что

-3

Какое наибольшее значение может принимать y?

Ответ: 16

3. На чертеже четырёхугольник ABCD вписан в окружность ω. Прямая, проходящая через точку D и параллельная AB, пересекает ω в точке P. Известно, что ∠PDC=20∘, ∠DPB=85∘.

-4

Найдите величину угла ∠ABC. Ответ выразите в градусах.

Ответ: 115

4. Натуральные числа a, b и c таковы, что НОД (a, b) =2 и НОД (b, c) =4. Чему может быть равен НОД (a, c)? Выберите все верные ответы:
1
2
3
6
12

Ответ: 2, 6

5. У Жоры есть коробка конфет, в которой конфеты расположены прямоугольником 4×10 (4 строчки, 10 столбцов). Жора берёт по одной конфете, каждый раз выбирая из строки, в которой осталось максимальное количество конфет; если таких несколько из любой из них. Сколькими способами Жора мог съесть первые 5 конфет? Порядок поедания важен.

Ответ: 8640000

6. Прямая ℓ, пересекающая стороны AB и AC треугольника ABC, разбивает его на равносторонний треугольник и на четырёхугольник. Пусть X и Y проекции точек B и C на прямую ℓ. Найдите длину отрезка XY, если AB=19, AC=24.

7. В стране 3 мегаполиса и 6 городков. Авиакомпания планирует расписание полётов между ними. Руководитель хочет, чтобы выполнялись следующие условия:

  • от любого населённого пункта до любого другого можно добраться (прямым рейсом или с пересадками);
  • если из пункта A есть рейс в пункт B, то и из пункта B есть рейс в пункт A;
  • из двух мегаполисов можно улететь ровно в три населённых пункта, а из одного в четыре;
  • из каждого городка можно улететь ровно в один населённый пункт.

Сколько существует способов организовать такое расписание?

Задание 8. Числа a1, a2, ……, a9 таковы, что

-5

Какое наибольшее значение может принимать a1?

11 класс

1. Пете, Васе, Толе, Коле и Серёже выдали одинаковые наборы из четырёх карточек: 1, 5, 7, 8. Каждый случайно выбирает одну из своих карточек и выкладывает на стол. Найдите вероятность того, что произведение чисел на карточках простое число.

Ответ: 0,048

2. Если длину прямоугольного поля увеличить на 18м, а ширину увеличить на 10м, то его площадь увеличится на 8280м2. На сколько уменьшится площадь поля, если его длину уменьшить на 18м, а ширину уменьшить на 10м? Ответ выразите в квадратных метрах.

Ответ: 7920

3. На сторонах правильного десятиугольника со стороной 2 отмечены две точки A и B. Чему может быть равна длина отрезка AB?
1
4
10
21

Ответ: 1, 4

4. Какой остаток при делении на 128 даёт число 26⋅33⋅512⋅2310?

Ответ: 64

5. Каждое из чисел от 1 до 3912 записано чернилами одного из k цветов (каждый цвет встречается). Оказалось, что для каждого цвета количество чисел этого цвета равно наименьшему числу, записанному чернилами этого цвета. При каком наибольшем k это возможно?

Ответ: 93

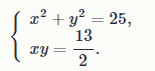
6. Жора решил систему уравнений

-2

Для каждого решения Жора посчитал, чему равно (x+y)2. Чему равна сумма всех чисел, посчитанных Жорой?

Задание 7. Три окружности радиусами 3, 6, 8 расположены так, что общая хорда пересечения любых двух окружностей является диаметром меньшей из них.

-3

Найдите квадраты длин сторон треугольника, образованного центрами этих окружностей. Каждое число записывайте в отдельное поле в порядке возрастания.

Найдите квадрат площади треугольника, образованного центрами этих окружностей.

Задание 8. Пусть n>2024 натуральное число. На доске написаны натуральные числа от 2024 до n. За одну операцию робот берёт два наибольших числа на доске и заменяет их на их разность, тем самым уменьшая количество чисел на доске. Через некоторое время на доске останется только одно число. Сколько существует натуральных n<8000, для которых это число будет равно 0?

Ответы для школьников 10-11 классов регионов:

Белгородская область 25. Брянская область 26. Владимирская область 27. Воронежская область 28. город Санкт-Петербург 29. Ивановская область 30. Калининградская область 31. Калужская область 32. Кировская область 33. Костромская область 34. Курская область 35. Ленинградская область 36. Липецкая область 37. Нижегородская область 38. Орловская область 39. Республика Марий Эл 40. Республика Мордовия 41. Республика Татарстан 42. Республика Чувашия 43. Рязанская область 44. Смоленская область 45. Тамбовская область 46. Тверская область 47. Тульская область 48. Ярославская область. Москва.

Оцените статью